Hallo zusammen,
ich nutze für meine Bachelorarbeit den Mann Whitney U Test. Ich muss den Test händisch nachvollziehen, da ich damit noch etwas programmieren muss. Ich habe mich an dieser Webseite orientiert:
https://www.methodenberatung.uzh.ch/de/ ... /mann.html
Die Berechnung von U kann ich nachvollziehen, ich komme auf dieselbe Rangsumme wie SPSS.
Da meine zum Teil Fallzahlen sehr groß sind, kann ich die überlicken Tabellen für kritische Werte nicht nutzen (oder weiß jemand wo ich eine Tabelle finde für die kritischen Werte mit n bis zu 1000)
Deswegen weiche ich am die Berechnung des Z-Wertes aus, aber hier komme ich nicht auf dasselbe Ergebnis wie SPSS.
--> Die große Frage: Warum komme ich nicht auf dieselben Ergebnisse wie SPSS? Meine Vermutung ist, dass es daran liegt, dass ich sehr viele gleiche Werte / Ränge habe und vielleicht Rangbindungen
berücksichtigt werden müssen.
Hier ein Beispiel
Stichprobe1 n = 100 : zwei mal Wert 100, drei mal Wert 80, 90 mal Wert 60, drei mal Wert 40, zwei mal Wert 20
Stichprobe2 n = 14 : null mal Wert 100, null mal Wert 80, elf mal Wert 60, drei mal Wert 40, null mal Wert 20
Output von SPSS:
Rangsumme1: 5889,50
Rangsumme2: 665,50
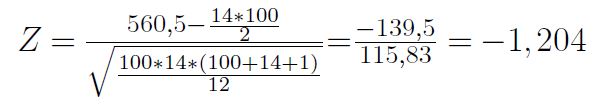
U-Wert: 560,50
Z: -2,183
Wenn ich die Formel auf der oben genannten Webseite nutze, um den Z-Wert händisch auszurechnen, erhalte ich Z = -1,2043
Könnt ihr mir helfen?
Ich habe das schon zig mal exerziert. Mit den Beispielwerten aus dem Internet kann ich die Ergebnisse (Z-Wert) nachvollziehen.
Auch wenn ich fiktive Werte nehme, die total unterschiedlich sind, mit SPSS den Mann Whitney U Test durchführe, und dann händisch nachrechne, komme ich auf dasselbe Ergebnis wie SPSS.
... aber mit "meinen" Stichproben nicht.
Danke, beste Grüße Lilou


