ich ahbe ein kleines Problemchen. Ich würde gerne die Sensitivität und Spezifität meines Verfahrens untersuchen. Soweit richtig recherchiert, sollte dies anhand der ROC-Kurven - mir bis dato leider noch unbekannt - geschehen.
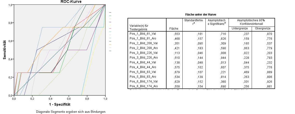
Ich habe Bilder raten lassen anhand von zwei Dimensionen, sodass ich zu jedem Bild zwei Werte habe. Zudem habe ich zwei Gruppen (hoch/niedrig). Nun möchte ich für einen Teil der Bilder (die "statistisch besten" sozusagen ^^) mir die Sensitivität und Spezifität ausgeben lassen. Wenn ich das mache, bekomme ich aber viel zu viele Kurven (klar, für jede Dimensionsbewertung einzeln). Damit kann ich aber irgendwie nichts anfangen.. Bin ich überhaupt richtig vorgegangen?
Richtig positiv wären übrigens Werte zwischen 25 und 61 (Gruppe hoch), 0 bis 15 sind Werte der zweiten Gruppe (niedrig). Deshalb habe ich diese Variable auch als Zustandsvariable verwendet und den Wert der Zustandsvariablen (ab wann es eine positive Zuordnung wäre? also ab >25?!) auf 25 gesetzt.. Ich habe auch schon bei Youtube geschaut, aber es auf die eigenen Daten anzuwenden, ist dann doch immer nochmal ein anderes Paar Schuhe.. o.O
Ich hoffe, das sind alle notwendigen Informationen. ^^
Die Abbildungen zeigen das Ergebnis von einen Teil der bewerteten Dimensionen, d.h. tatsächlich wären es noch deutlich mehr Kurven, für ein Beispiel sollte es aber so übersichtlicher sein.
Ich verstehe das ganze leider noch nicht ganz und würde mich über einen Austausch sehr freuen!!
LG


