Nachdem mir die Suche in diesem Forum nichts Hilfreiches ausgespuckt hat und auch unser Uni-Tutor überfragt war, hoffe ich auf die Mithilfe eines klugen Kopfes:
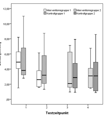
Ich habe für meine Dissertation gruppierte Boxplots angefertigt, mit denen ich darstelle, wie zu vier Messzeitpunkten je eine Interventions- und eine Kontrollgruppe abgeschnitten haben. Ich verwende dabei zu Zeitpunkt 1 und 2 die Daten von Interventions-/Kontrollgruppe 1, zu Zeitpunkt 3 und 4 die Daten von Interventions-/Kontrollgruppe 2 (ich habe zum besseren Verständnis ein Beispiel angefügt).
Mein Problem ist nun die Ausrichtung der Boxplots in Bezug auf die x-Achse: bei 1 und 2 sind die Boxen rechtsbündig zur Achsenbeschriftung ausgerichtet, bei 3 und 4 linksbündig. Welche Anordnung es am Ende wird, wäre mir egal, aber einheitlich sollte sie sein. Wie lässt sich das bewerkstelligen?
Oh, und wo wir schon dabei sind: kann ich in SPSS Signifikanzen zwischen zwei Gruppen zum gleichen Zeitpunkt oder zwischen den Werten einer Gruppe zu zwei verschiedenen Zeitpunkten im Boxplot darstellen?
Vielen Dank für eure Hilfe!


